흑체 복사의 변화 (The Shift in Black-Body Radiation)
페이지 정보
작성자 관리자 조회513회 작성일 26-01-23 15:08본문
흑체 복사의 변화 (The Shift in Black-Body Radiation)
빈 변위 법칙(Wien’s Displacement Law)
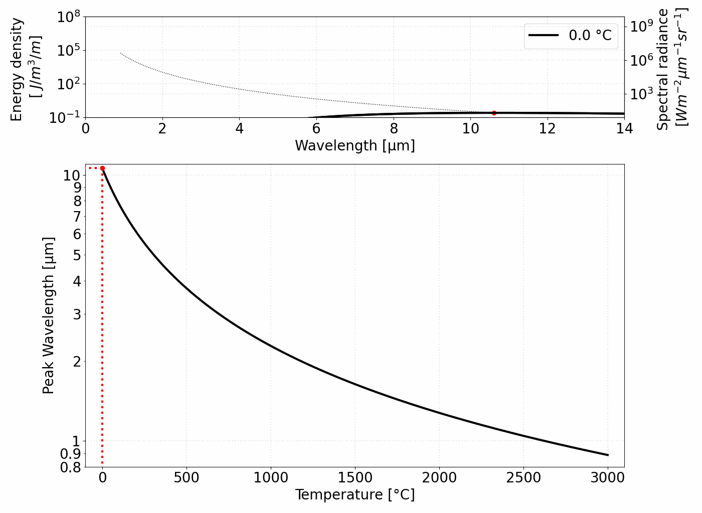
빈의 변위 법칙, 흔히 “빈 법칙”이라고 불리는 이 법칙은 흑체 복사의 피크 파장이 온도에 반비례한다고 설명합니다. 온도가 높아질수록 피크 파장은 짧은 쪽으로 이동하고, 낮은 온도에서는 피크 파장이 길어집니다. 파장과 온도의 이러한 반비례 관계는 특정 온도에서 흑체 복사의 스펙트럼 세기를 파장에 따라 나타내는 플랑크 복사 법칙의 직접적인 결과입니다. 쉽게 말하면, 뜨거운 물체는 짧은 파장의 복사를 방출하고, 차가운 물체는 긴 파장의 복사를 방출합니다.
빈의 변위 법칙은 흑체 복사의 스펙트럼 복사가 특정 파장 λpeak에서 최대에 도달한다고 규정하며, 이 파장은 흑체의 온도 T에 의해 결정됩니다.
빈의 변위 법칙은 긴 파장과 낮은 온도에서는 정확하지 않습니다. 낮은 온도에서는 빈 법칙으로부터 연속적인 곡선을 얻을 수 없습니다. 그림 1에서 보듯, 피크 파장의 그래프는 파장이 길어지고 온도가 낮아짐에 따라 점차 평탄해지는 경향을 보입니다. 또한, 온도가 높아짐에 따라 플랑크 법칙의 곡선은 넓어집니다.
빈의 변위 법칙은 플랑크 법칙에서 도출하고 근사할 수 있습니다. 이를 위해, 플랑크의 스펙트럼 복사 함수 Bλ(λ,T) 를 파장 λ에 대해 미분하고, 그 결과를 0으로 놓아 피크 위치를 계산합니다.
여기서 x=hc / λkBT 라 정의하면, 단일 변수로 간단히 나타낼 수 있습니다.
이 방정식은 뉴턴법(Newton’s Method)을 이용해 수치적으로 풀어야 하며, 결과는 x=4.965 가 됩니다. 이 값을 피크 파장 λpeak 관계에 대입하면, 빈 상수를 도출할 수 있습니다.
요약
- 흑체 복사의 피크 파장은 온도에 반비례합니다.
- 더 뜨거운 물체는 짧은 파장에서, 더 차가운 물체는 긴 파장에서 복사를 방출합니다.
출처
- Hecht, Eugene. Optik, Berlin, Boston: De Gruyter, 2018. https://doi.org/10.1515/9783110526653
- Miller, J. L., Friedman, E., Sanders-Reed, J. N., Schwertz, K., & McComas, B. (2020). Photonics rules of thumb (No. PUBDB-2021-03249). Bellingham, Washington: SPIE Press. https://doi.org/10.1117/3.2553485
- De Witt, Nutter: Theory and Practice of Radiation Thermometry, 1988, John Wiley & Son, New York, https://doi.org/10.1002/9780470172575
- Hudson, Richard: Infrared Systems Engineering, New York, John Wiley and Sons, 1969 10.1016/0022-2860(71)85028-7
댓글목록
등록된 댓글이 없습니다.


